14165-22-1

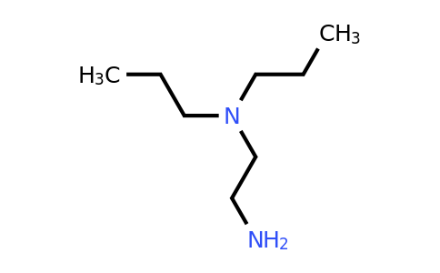
14165-22-1 | 2-(Di-n-propylamino)ethylamine

2-(Di-n-propylamino)ethylamine, 98%NLT

CAS No.: 14165-22-1
SizePrice(USD) USA StockQuantity
Please contact us to get current price and delivery time.
REQUEST A QUOTE Tel: +1 (817) 863-6948 | Email: [email protected]

Note: Price does not include delivery fees, bank fees, or handling fee.


Product Information
Product Name2-(Di-n-propylamino)ethylamineCat No.ACS583045
CAS No.14165-22-1MDL No.
Molecular Weight144.26Molecular FormulaC8H20N2
DescriptionAceschem offers CAS 14165-22-1, 2-(Di-n-propylamino)ethylamine, 98%NLT, its formula is C8H20N2, molecular weight is 144.26 g/mol.Its documents as NMR, MSDS, HPLC, COA for your needs.
Related Products
2,2-Dimetil-2,3-dihidro-1-benzofuran-5-tiol

1248920-72-0

ACS648875
Benzofuran-2-amine

139266-08-3

ACS648874
1'-Methyl-6,7-dihydro-2H,5H-spiro[furo[2,3-f]indole-3,4'-piperidine]

180082-56-8

ACS648873
(6-Chloro-2-methyl-5-nitro-2,3-dihydrobenzofuran-2-yl)methanol

2102174-77-4

ACS648872